قانون گرایش نزولی نرخ سود؛ ;پاسخ هاینریش به منتقدین میکاییل هاینریش، برگردان:نیکو پورورزان

١. سردرگمی پیرامون «قانون» و نیروی های «خنثی گر»:
از نقطه نظر مارکس، آیا نرخ افزایشی ارزش اضافی (S/V) بخشی از خود قانون است (آن چنان که در فصل سیزدهم از جلد سوم سرمایه آمده است)، یا آن که یکی از عوامل خنثی گر است (آن گونه که در فصل چهارم بحث شده است)؟ برای یافتن پاسخ به این پرسش آسانترین راه مطالعهی فصل سیزدهم [جلد سوم سرمایه] است. در این جا مارکس بحثاش را با پیشفرض ثابت ماندن نرخ ارزش اضافی آغاز نموده و آنگاه نشان میدهد که در این چنین شرایطی افزایش در ترکیب آلی سرمایه به سقوط نرخ سود خواهد انجامید.[1] البته، وی بلافاصله نرخ افزایشی ارزش اضافی را نیز مد نظر قرار میدهد.[2] در این جا، مارکس حتا این امکان که نرخ سود به موازات افزایش نرخ ارزش اضافی افزایش یابد را نیز درک می کند، اما، بدون آن که وارد جزییات شود این امر را تحت عنوان «یک مورد منزوی» و یا غیرواقعی به کنار می نهد. کاملاً روشن است که وی «خود قانون» را نه تنها در کنار نرخ ثابت ارزش اضافی، بلکه هم چنین در صورت نرخ فزاینده ارزش اضافی نیز صادق میداند!
حال چرا در فصل چهاردهم به نرخ افزایشی ارزش اضافی به عنوان «عامل خنثی گر» اشاره می شود؟ نرخ ارزش اضافی می تواند به دلایل کاملاً متفاوت روند افزایشی داشته باشد. از یک سو، افزایش بارآوری روند کار می تواند منجر به افزایش در نرخ ارزش اضافی شود.[3] از سوی دیگر، راه کارهای دیگری مانند درازتر کردن روز کار و یا تشدید روند کار نیز می تواند به افزایش نرخ ارزش اضافی بینجامد. وارسی سرآغاز فصل چهاردهم به ساده گی نشان می دهد که صرفاً مورد دوم که مستقل از افزایش بارآوری روند کار است، از سوی مارکس به مثابه یکی از «عامل های خنثی گر» در نظر گرفته شده است.
حال چرا تنها مورد اول برای فرمولبندی قانون مورد استفاده قرار گرفته است؟ پاسخ من این است که مارکس میخواهد نشان دهد که شیوه سرمایه داری درگسترش بارآوری اجباراً روند نزولی نرخ سود را باعث می گردد. همان گونه که پیشتر و در فصل اول دیده ایم، برای دستیابی به ارزش اضافی بیشتر، سرمایهدارها به بارآوری روند کار میافزایند.[4] هنگامی که روش تولید جدید همگانی میشود دو نتیجه ممکن به دنبال خواهد داشت:
(١)- ترکیب ارزشی میانگین سرمایه (C/V) افزایش می یابد؛
(٢)- ارزش کالاها پایین رفته و بدین ترتیب نرخ ارزش اضافی (S/V) بالا می رود.
در مجموع، روش سرمایه داری درگسترش بارآوری دو نتیجهی همزمان را به دنبال دارد که تأثیر متضاد بر نرخ سود میگذارند: روند صعودی C/V به سقوط نرخ سود راه می برد؛ در حالی که افزایش S/V به افزایش نرخ سود میانجامد. از این رو، هنگامی که بخواهیم پی آمد شیوه های سرمایه داری در افزایش بارآوریِ روندِ کار بر نرخ سود را اثبات کنیم، چاره ای نیست جز این که هر دو عامل فوق را در نظر بگیریم. نمیتوان به طور دلبخواهی یکی از این دو عامل را ابتدا به عنوان «فاکتور اولیه» فرض گرفته و آن گاه با تمرکز صرف بر این یگانه عامل اعلام نمود که «قانون» جدیدی کشف شده است.
اگر کسی بخواهد که فقط تأثیر روند افزایشی C/V را بافرض ثابت ماندن نرخ ارزش اضافی S/V در نظر بگیرد، آن گاه دو معلول همواره به هم پیوستهی یک علتِ واحد را از هم ساخته است. این گونه رویکرد «قانون» را به سطح یک رابطهی پیش پا افتاده ریاضی[5] پایین آورده که از هر گونه مفهوم واقعی بیبهره خواهد بود.[6] به نظر میرسد که برخورد کارکیدی/رابرتز به این قانون از این زاویه باشد. اما، مارکس یک پژوهشگر سرسخت بود. وی به هیچ روی علاقهای به فرمولبندیهای پیش پا افتادهی عاری از مفاهیم واقعی نداشت. مارکس میکوشید که تا به بینش واقعی دست یافته و در این مسیر خطر شکست را نیز میپذیرفت.
٢. مشکلات موجود در مسیر اثبات این قانون:
همان گونه که پیش تر اشاره شد، مارکس در سراسر فصل سیزدهم به افزایشS/V اشاره می کند، ولی صرفاً در فصل پانزدهم است که می توان تلاش اش را برای تأثیر این افزایش بر نرخ سود یافت.[7] وی در این جا مثال ٢٤ کارگر را می آورد که هر کدام دو ساعت کار اضافی در روز انجام میدادهاند (در مجموع، ٤٨ ساعت کار اضافی در روز) که حال با تعداد دو کارگر جایگزین شده اند. پر واضح است که این دو کارگر که جای ٢٤ کارگر را گرفته اند، فارغ از این که قدر مطلق S/V به چه اندازه افزایش یابد، نمیتوانند ٤٨ کار اضافی در روز انجام دهند.
اگر خواسته باشیم که ارزش اضافی تولید شده به دست ٢٤ کارگر را با ارزش اضافی تولید شده توسط دو کارگر مقایسه کرده تا بدین ترتیب مقیاسی در مورد نرخ سود به دست دهیم، میباید که مقدار سرمایهی لازم برای به کارگیری ٢٤ کارگر را با سرمایهی مورد نیاز در به کارگرفتن دو کارگر مقایسه کنیم. نادیده گرفتن مقایسهی دوم صرفاً به این فرض که حجم سرمایهی لازم نیاز به تغییر ندارد، فرضی کاملاً دلبخواهی و غیرقابل توجیه است.٢. مشکلات موجود در مسیر اثبات این قانون همان طور که در مقاله ام توضیح داده ام، هنگامی که ما تنها به این امر اشراف داریم که صورت کسر (ارزش اضافی) کاهش یافته، و هم زمان فرض ما بر این باشد که مخرج کسر (سرمایه کل C+ V) کاهش نخواهد یافت، آن گاه کاهش قدر مطلق کسر تنها نتیجهی ممکن خواهد بود. در حالی اگر مجموع سرمایه نیز کاهش بیابد، آن گاه هم صورت و هم مخرج کسر هر دو نزولی بوده و از این رو کماکان باید به این پرسش پاسخ گفت که کدام یک از این دو با شدت بیشتری کاهش می یابد.
کارکیدی/رابرتز مرا متهم میسازند که صورت مسئله را در چارچوب نادرستی مطرح ساخته ام. از نظر ایشان شکل درست اش این است که مسئله در ارتباط با افزایش و یا کاهش ترکیب آلی [سرمایه] بحث شود. اینها بر این باورند که انکار روند نزولی نرخ سود گویا که رشد نزولی ترکیب آلی را پیش فرض گرفته، امری که گویا بدون بحث و اقناع لازم از سوی این جانب مطرح شده است. نتیجه گیری ایشان این است که مورد شخص من «در واقع نمونه دیگری است از این که طرز تفکر نادیالکتیکی در رویاروییاَش با حرکت دیالکتیکی چیزی جز نامعینی نمیبیند».
حال بگذارید که مثال را در چارچوب ترکیب آلی سرمایه قرار داده و فرض کنیم که یک روز کار دوازده ساعت بوده و این که در طی هر یک ساعت کار یک واحد از ارزش تولید میشود. در مورد اول فرض بر این است که هر کارگر مقدار دو ساعت کار اضافی انجام می دهد؛ به این معنا که هر کارگر مزدی معادل ده ساعت کار دریافت کرده و مابقی ساعات کار، یعنی ساعت ۴۸ = ۲ * ۲۵ ، مقدار کار اضافی است که مجموعاً توسط ٢٤ کارگر انجام میشود و مقدار سرمایه متغیر نیز معادل واحد میباشد. حال بگذارید فرض کنیم که سرمایه ثابت نیز شصت واحد است. بنابراین، تحت چنین شرایط مفروضی ترکیب آلی S/V عبارت است

از و نرخ سود نیز

است.
حال فرض کنیم که بارآوری روند کار بالا رفته و به جای بیست و چهار کارگر تنها به دو کارگر نیاز بوده، و از آنجایی که بالا رفتن بارآوری روند کار الزاماً به سقوط ارزش نیروی کار می انجامد، بگذارید تا این را هم فرض بگیریم که هر کدام از این دو کارگر تحت شرایط فعلی ده ساعت کار اضافی انجام می دهند. بدین ترتیب می بینیم که ارزش اضافی از مقدار ٤٨ واحد به 20= 10 * 2 واحد کاهش یافته است. به این دلیل که طول یک روز کار کماکان دوازده ساعت است، پس تنها به دو ساعت از کار هر کارگر مزد پرداخت شده و بنابراین سرمایهی متغیر به جای ٢٤٠ واحد تنها ۴= ۲ * ۲ واحد خواهد بود. حال باید افزایش در سرمایهی ثابت را نیز در نظر گرفت. به منظور روشن ساختن مسئله، ابتدا فرض می کنیم که سرمایهی ثابت از ٦٠ واحد به ٩٦ واحد افزایش یافته است که بلافاصله می توان محاسبه نمود که ترکیب آلی سرمایه به میزان سرسام آوری، یعنی از ٢٥٪ به ٢٤٠٠٪ افزایش یافته است. با این وجود، اما، نرخ سود کاهش نیافته، بلکه از ١٦٪ به

افزایش یافته است. در این مثال، تنها و تنها در شرایطی نرخ سود رو به سوی کاهش خواهد گذاشت که سرمایهی ثابت از ١٢١ واحد بیشتر بوده، یا به عبارتی، ترکیب آلی سرمایه از

افزون باشد.
با استفاده از این چنین محاسبهی سادهای حتا افکار دیالکتیکی کارکیدی و رابرتز نیز باید بتوانند این نکته را دریابند که افزایش ترکیب آلی به برای اثبات روند نزولی نرخ سود کافی نخواهد بود. ترکیب آلی نه تنها باید افزایش یابد، بلکه در عین حال باید که به میزان معینی در ارتباط با سقوط همزمان ارزش نیروی کار افزایش نشان دهد. در مورد مثال بالا، کاملاً روشن است که این افزایش باید دست کم از ٢٥٪ به ٣٠٢٥٪ باشد.
این واقعیت را گریزی نیست که گسترش بارآوری روند تولید در سیستم سرمایه داری دو اثر متضاد بر نرخ سود می گذارد. پذیرفتن «قانون گرایش نزولی نرخ سود» این را از پیش فرض می گیرد که به لحاظ منطقی میتوان اثبات نمود که اثرات C/V رو به رشد در درازمدت بر تأثیرات S/V غلبه خواهد کرد. کارکیدی/رابرتز تلاش می کنند تا این قضیه را با این بحث اثبات کنند که گویا امکان رشد S/V به سبب مشکلات بیولوژیک و اجتماعی موجود بر سر راه طولانیتر کردن روز کار محدود بوده و سعی میکنند که تا این استدلالشان را به توسط یک مثال عددی جالب نیز توضیح دهند. من به هیچ روی منکر این واقعیت نیستم که روز کار از این چنین محدودیتهایی برخوردار است. اما، طولانی کردن روز کار مطلقاً یگانه وسیلهی موجود برای افزایش S/V نیست. کل بخش چهار فصل اول سرمایه به بحث پیرامون تولید ارزش اضافی نسبی اختصاص داده شده است. نکتهای که در بحث کارکیدی/رابرتز نادیده گرفته شده این است که با روز کار ثابت و یا حتا کاهنده، S/V میتواند به دلیل رشد بارآوری روند کار افزایش یابد. مادامی که بتوان بارآوری روند کار را افزایش داد، آن گاه هیچ گونه محدودیت مشخصی در بالا رفتن S/V وجود نخواهد داشت. اما، اگر هم تصور کنیم که زمانی بارآوری روند کار به حد اکثرش رسیده و متوقف شود، حتا این نیز ضامن «قانون گرایش نزولی نرخ سود» نخواهد بود. به این دلیل که در این چنین شرایطی نه تنها رشد S/Vمحدود شده بلکه در عین حال افزایش /V نیز محدود خواهد شد. هزینه کردن سرمایهی ثابتِ بیشتر در شرایطی که افزایش بارآوری روند کار امکان نداشته باشد کاملاً بی مورد خواهد بود.
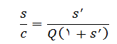
شین میج، اما، استراتژی دیگری را برای حفظ و حراست از «قانون گرایش نزولی نرخ سود» دنبال می کند: وی به سادگی رابطهی ریاضی نرخ سود را تغییر می دهد. در حالی که مارکس رابطهی

را برای محاسبهی نرخ سود به کار می گیرد، میج مدعی است که V به مرور زمان کوچک و کوچکتر شده، و با توسل به این استدلال است که وی به ساده گی آن را از قلم میاندازد. اگر چه کار وی از نظر ریاضی اندکی ماجراجویانه است، اما، بگذارید که تا ملاحظات اش را بررسی کنیم. به جای نرخ سود مارکسی ما «نرخ سود میج» S/V را در نظر می گیریم. میج در ارتباط با ترکیب آلی سرمایه رابطهی

را به جای نشانده و آن را با نماد Q نشان میدهد. با نشاندن ’S به عنوان نرخ ارزش اضافی (S/V)، وی فرمول خویش را برای نرخ سود خویش این گونه مینویسد:

میج با این فرمولبندی می خواهد که استدلال مرا مبنی بر این که در رابطهی ریاضیِ نرخِ سودِ مارکس ارزش اضافی در صورت کسر قرار داشته و ترکیب ارزشی در مخرج و این که الزاماً نمیتوان گفت که کدام سریعتر از دیگری رشد خواهد نمود را رد نماید. میج با این فرمولبندی جدیدش پیروزمندانه اعلام میکند که نرخ ارزش اضافی » هم در صورت و هم در مخرج کسر » قرار داشته در حالی که سرمایهی ثابت تنها در مخرج کسر ظاهر میشود. ظاهراً این گونه به نظر میرسد که وی دچار این توهم است که گویا ظهور توأمان’S در صورت و مخرج کسر باعث میشود که به میزان معینی یکدیگر را خنثی نموده و از این رو رشد مقدار C تأثیر تعیین کننده بر نتیجهی نهایی کسر خواهد داشت.
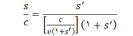
به هر حال، این که ’S در مخرج کسر ظاهر می شود توهمی بیش نیست. زیرا به جای رابطهی

، همان گونه که میج خود نیز بدان اشاره می کند، میتوان معادلاش را به شکل

نوشت. حال اگر این رابطه را در معادلهی «نرخ سود میج» جای گذاری کنیم، به فرمول زیر خواهیم رسید:

و همانگونه که به سادهگی میتوان دید، ’S نه تنها یک بار، بلکه در حقیقت دو بار در مخرج کسر قرار میگیرد. و از آن جایی که این دو عبارت یک دیگر را خنثی میسازند، بنابراین رابطهی بالا را میتوان به شکل زیر ساده نمود:

بدین ترتیب، کاملاً بدیهی است که ظهور’S در مخرج کسر صرفاً ناشی از یک توهم است.[8]
بنابراین، نرخ ارزش اضافی مطلقاً تأثیری بر مخرج کسر ندارد. هنگامی که ما ساده ترین شکل رابطهی «نرخ سود میج»، یعنی

را به کار بگیریم، آن گاه خواهیم دید که نرخ ارزش اضافی (’S) در صورت و ترکیب ارزش (C/V) در مخرج کسر قرار میگیرد. این که قدر مطلق کسر در درازمدت افزایش یافته و یا آن که کاهش خواهد یافت، به این وابسته است که کدام یک از این دو (یعنی S/V یا C/V) سریع تر رشد خواهد نمود. از این رو می بینیم که «نرخ سود میج» نیز دقیقاً با همان مشکلِ نرخ سود مارکسی روبرو است.
٣. قانون در بوته آزمایش؟
من در مقالهام گفتهام که مشاهدهی تجربی جهت حرکت نرخ سود درستی و یا نادرستی «این قانون» را به اثبات نمیرساند. بررسی جهت حرکت نرخ سود صرفاً به ما نشان میدهد که در گذشته چه بر سر آن آمده است، در حالی که قانون در مورد آن چه که در آینده باید اتفاق بیفتد موضع مشخصی ارایه میکند. کارکیدی/رابرتز با من بر سر این نکته موافق اند. آنها در این مورد می نویسند که: «وی در این مورد بر حق است که واقعیتهای گذشته، به خودی خود، اثبات وقوع همان ها در آینده نیست.» با این وجود، کارکیدی/رابرتز موردی را سراغ دارند که ما می توانیم از آن چه که در گذشته رخ داده است اتفاقات آینده را نتیجه بگیریم. ایشان مینویسند که: » اگر بتوان نشان داد که عواملی که روند تحول های گذشته را رقم زده اند، در آینده نیز فعال خواهند بود، آن گاه می توان پیش بینی نمود که تحول های گذشته در آینده نیز به وقوع خواهند پیوست.» من نیز با این حرف موافق ام. اما، این عوامل تعیین کننده می باید که که دقیقاً بر اساس همان روابط کمی در آینده فعال باشند. چنان چه در گذشته موردی بوده است که افزایش بارآوری روند کار به افزایشی در ترکیب ارزش (C/V) انجامیده باشد که فراتر از افزایش نرخ ارزش اضافی (S/V) بوده، آن گاه باید دقیقاً نشان داد که عین همین روابط در آینده نیز اتفاق خواهد افتاد. اما، کجا این چنین بحثی ارایه شده است؟
اگر افزایش معینی، مثلاً به میزان صد در صد، در بارآوری روند تولید صورت پذیرفته باشد، آن گاه می توان نرخ ارزش اضافی را در آن شرایط به طور دقیق و بر اساس تعریف اش (یعنی S/V) معین نمود. هنگامی که بارآوری روند تولید به طور صد در صد افزایش یافته باشد، آن گاه ارزش نیروی کار به نصف سقوط نموده و نیمهی دیگرش مکمل ارزش اضافی خواهد بود. بنابراین، نرخ ارزش اضافی جدید عبارت خواهد بود از:

اما، در مورد افزایش ترکیب ارزش (C/V) چه می توان گفت؟ مثلاً اگر که بارآوری تولید دو برابر شده باشد، آن گاه افزایش در ترکیب ارزش باید به چه میزان بوده باشد (٥٠٪، ١٠٠٪، یا آن که ٢٠٠٪)؟ این احتمالات تابع شرایطی هستند که سقوط مفروض در ارزش نیروی کار آن را رقم نزده و از این رو هیچ گونه قطعیتی در این مورد وجود ندارد. به علاوه، دلیلی نیز نمی توان یافت که بر اساس آن بتوان رابطهی مشخصی میان بالا رفتن بارآوری روند کار و افزایش لازم در مقدار ترکیب ارزش برقرار ساخت. فرض می کنیم که در گذشته برای دو برابر ساختن بارآوری روند تولید نیاز به افزایشی معادل ٢٠٠٪ در ترکیب ارزش بوده باشد. این، اما، هیچ دلیلی به دست نمی دهد که تا بر آن اساس بتوان گفت که در آینده نیز به منظور دستیابی به همان درجه از افزایش در بارآوری تولید کماکان به افزایش دویست درصدی در مقدار نیاز خواهد بود. از این رو، روشن نیست که آیا همان عامل ها و دقیقاً همان روابط کمی فعال در گذشته در زمان آینده نیز فعال خواهند بود.
این تفاوت تعیین کننده بین این «قانون» و قانون جاذبه است که کارکیدی/رابرتز به عنوان مقایسه به آن اشاره می کنند. قانون جاذبه نیوتن نه تنها به این نکته می پردازد که جاذبهی میان دو جرم به بزرگی و کوچکی شان وابسته است، بلکه در عین حال رابطهء دقیق کمی برای تعیین مقدار جاذبهی بین دو جرم را نیز به دست میدهد. براساس قانون جاذبه ی نیوتن، هنگامی که یک جرم به سه برابر افزایش یابد، نیروی جاذبه سه برابر شده، و یا اگر هر دو جرم دو برابر شود، آن گاه نیروی جاذبه میان این دو جرم به چهار برابر مقدار پیشین افزایش یافته، و یا اگر فاصلهی میان دو جرم دو برابر شود، آن گاه جاذبهی میان آن دو جرم به یک چهارم کاهش خواهد یافت. اما، متأسفانه این چنین رابطه ی دقیق ریاضی میان افزایش بارآوری و افزایش در مقدار وجود نداشته و نخواهد داشت.
پیش از خاتمهی این بحث مایل ام که به دو نکته دیگر اشاره کنم:
-
در پاسخ به این گفتهی من که قانون گرایش نزولی نرخ سود را نمیتوان به طور تجربی اثبات نمود، کارکیدی/رابرتز می نویسند: «این گونه استدلال را می توان برای تخطئه هر قانون دیگری، از جمله قانون جاذبه، نیز به کار گرفت (امکانی که وی احتمالاً در نظر نگرفته است)» من پیشتر به تفاوت میان قانون جاذبه که به طور کمی تعیین و تعریف شده و این که قانون مارکس از این چنین قابلیتی برخوردار نبوده اشاره کرده ام. اما، در این جا نکتهی دیگری نیز وجود دارد که بد نیست که بدان اشاره شود. نیوتن قانون جاذبهاش را در کتاب اش زیر عنوان اصول ریاضی[9] فرمولبندی کرد که در سال ١٦٨٧ انتشار یافت. در طول دو سده پس از انتشار این اثر، این قانون به طور تجربی بارها و بارها مورد تأیید قرار گرفته است. با این وجود، در حدود یک صد سال پیش قانون جاذبهی نیوتن به توسط تئوری نسبیت عمومی انیشتین واژگون گردید.
-
خواندن نوشتهی کارکیدی/رابرتز این ذهنیت را می آفریند که گویا به آسانی میتوان تعیین نمود که در پنجاه و یا صد سال گذشته نرخ سود در چه جهتی نوسان داشته است. هر کسی که بخواهد این قضیه را به طور جدی پی بگیرد می باید که در ابتدا دو مسئله اساسی را حل کند:
-
مسئله ی اول: در آماری که دولت ها و سازمان های جهانی ارایه می دهند مفاهیم مارکسی به کار گرفته نمی شود. در آمار رسمی به هیچ وجه نمی توان اشاره ای به ارزش اضافی و یا ترکیب آلی سرمایه یافت. برای این که بتوان از این آمار استفاده نمود نیاز به نوعی ترجمه است. اما، این ترجمه خالی از ابهام نخواهد بود. هنگام به اصطلاح ترجمهی این داده ها، همواره امکانهای متفاوتی پیش رو قرار میگیرد که می باید از میان شان انتخاب نمود که طبعاً انتخاب فرد بر نتایج کمی تأثیر خواهد گذاشت.
-
مسئله ی دوم: بنیادهای آمار رسمی در طول زمان تغییر میکند. وضع قانونهای تازهی مالیاتی و یا قانونهای حسابداری جدید برای کمپانیها باعث تغییر در تعاریف آماری مقادیر بنیادی میشود. بدین مفهوم که مقایسه دادههای آماری میان سال های، به طور مثال، ١٩٥٠ و ١٩٩٠ الزاماً مقایسه ی داده های همسان نخواهد بود. یا این که شاید عدد مورد نظر به طور اسمی ثابت مانده باشد، اما، نحوهی حسابرسی این مقدار به طور اساسی تغییر کرده باشد. هدف ام در این جا این نیست که بگویم استخراج اطلاعات لازم از دادههای آماری امکان ناپذیر است. اما، آن طور هم که از نوشتهی کارکیدی/رابرتز بر می آید آسان و بی ابهام نیست.
٤. دیدگاههای دایماً در تغییر مارکس در دههی هفتاد:
من در مقالهام نوشتم که مارکس احتمالاً نسبت به قانون گرایش نزولی نرخ سود دچار تردید شده بود. کارکیدی/رابرتز میگویند که من رویکرد مارکس به پژوهشهای فشرده پیرامون سیستم اعتباری را به عنوان دلیلی بر این فرضیه آورده، که از نظر ایشان دلیل محکمه پسندی نیست. من نیز با ایشان هم نظرم که صرف پژوهش پیرامون سیستم اعتباری به مفهوم دودلی در باب قانون گرایش نزولی نرخ سود نمیتواند باشد. اما، واقعیت این است که من هیچ گاه چنین چیزی را نگفتهام.
در ارتباط با دیدگاههای سیال مارکس در دهه ی هفتاد [قرن نوزدهم] من به دو موضوع مختلف پرداختهام:
یکم- من با اشاره به برخی از اظهار نظرات مارکس در نامه های اش سعی نموده ام که نشان دهم که وی به هیچ وجه فکر نمی کرده که تئوری بحران وی به آن شکل که در ٦٥ـ١٨٦٤ فرمول بندی شده بود به تمام و کمال باشد. در میان فاکتورهای بسیاری، مارکس به ویژه به نفوذ و تأثیر بانک های ملی [در فراگرد بحران اقتصادی] پی برده و قطعاً می خواسته که بخش مربوط به اعتبار را بازنویسی کند، امری که به نظر من می توانست تأثیر به سزایی بر فرمول بندی تئوری بحران داشته باشد.
دوم- تلاش من در مقاله ام این بوده که تغییر موضع مارکس نسبت به قانون گرایش نزولی نرخ سود را امری ممکن نشان دهم. من به هیچ روی ادعا نکردهام که میتوانم این نظرم را به اثبات برسانم، ولی فاکتهایی را در این زمینه ارایه نمودهام، که اتفاقاً بر پژوهشهای مارکس پیرامون سیستم اعتباری متکی نبوده، اما، از این فرضیه که وی دچار تردید شده بود دفاع میکند:
الف– در دست نوشتههای ١٨٧٥، هنگامی که مارکس رابطهی ریاضی میان نرخ ارزش اضافی و نرخ سود را بررسی میکند،این نکته بر وی کاملاً آشکار میشود که موارد متعددی وجود دارد که نشان دهندهی نرخ افزایشی سود بوده، اگرچه ترکیب ارزش سرمایه نیز هم زمان بالا رفته باشد. بدین ترتیب بدیهی میشود که کل قضیه از آن چه که ده سال پیش تر از آن و در دستنوشتههای جلد سوم سرمایه آمده بود بسا پیچیدهتر است.
ب– من هم چنین یادداشت مارکس را آورده ام که وی در حاشیه جلد اول سرمایه (نسخهی شخصیاش) نوشته و انگلس بعداً آن را به شکل زیرنویس منتشر نموده بود. این توضیح مارکس به روشنی حاکی از نرمال بودن نرخ افزایشی سود در کنار نرخ فزاینده ترکیب ارزشی سرمایه است.
اگر این توضیح به واقع بیان کنندهی نقطه نظر مارکس در ١٨٧٠ بوده باشد، آن گاه بیتردید میتوان گفت که وی قانون گرایش نزولی نرخ سود را در آن زمان رها کرده بود. اگرچه به این دلیل که این تبصره یکی از موارد پراکنده است نمیتوان آن را به عنوان دلیلی قطعی بر این ادعا دانست، اما، نکته این جاست که این یادداشت همخوانی کامل با وارسی رابطهی ریاضی میان نرخ ارزش اضافی و نرخ سود در دستنوشتههای ١٨٧٥ دارد. بر این اساس است که من تغییر نظر مارکس نسبت به قانون گرایش نزولی نرخ سود را فرض میگیرم.
در این جا میخواهم بر نکتهی سومی تأکید کنم که در مقالهام به آن نپرداختهام. مارکس در سالهای دههی هفتاد [قرن نوزدهم] بارها به پدیدهی بحران پرداخت. اما، نه در نامههایاش و نه در دست نوشتههایاش اشارهای به قانون گرایش نزولی نرخ سود را نمیتوان یافت. اگر این باور بسیاری از مارکسیستها که از نقطه نظر مارکس قانون گرایش نزولی نرخ سود اهمیت ویژهای در توضیح بحران داشته، درست باشد، آن گاه چگونه میتوان این چنین سکوتی را توضیح داد؟ در حالی که اگر نظر مارکس در مورد این قانون به واقع تغییر کرده بود، آن گاه این چنین سکوتی به هیچ روی تعجب آور نخواهد بود.
سرمایه به مفهوم عام در گروندریسه و در سرمایه
فِرد موزلی این گفتهی مرا که مارکس فرق گذاری میان «سرمایه به مفهوم عام» و «رقابت میان سرمایههای متفاوت» را در سرمایه به کنار نهاده بود مورد انتقاد قرار می دهد. وی، سپس، این فرق گذاری را هم ردیف فرق گذاری میان تولید ارزش اضافی و توزیع ارزش اضافی قرار داده و می نویسد که من شواهد لازم بر این که مارکس فرق گذاری میان تولید و توزیع ارزش اضافی را رها کرده باشد ارایه نکردهام.
موزلی در این نکتهی آخر درست میگوید. من شاهدی بر این که مارکس فرق گذاری میان تولید و ارزش اضافی را به کنار نهاده باشد ارایه نکردهام. من با موزلی در این که مارکس این فرق گذاری را در گروندریسهپرورده وسرمایه در نیز آن را دنبال نمود موافقام. این نکته را نیز باید بیفزایم که تولید ارزش اضافی نه تنها تولید فی نفسه را در بر می گیرد، بلکه هم چنین گردش (سادهی کالا و سرمایه را آن چنان که در جلد دوم سرمایه بسط یافته است) را نیز شامل میشود.
اما، من با موزلی در هم ردیف قرار دادن این دو فرق گذاری موافق نیستم. موزلی این را پیشفرض میگیرد که مارکس زیر عنوان «سرمایه به مفهوم عام» صرفاً میخواسته که تولید ارزش اضافی را مطرح کرده باشد. وی برای این پیشفرضاش، اما، هیچ سندی به دست نمیدهد. در واقع، در هیچ کجا نمیتوان جملهای از مارکس پیدا نمود که «سرمایه به مفهوم عام» را به تولید ارزش اضافی محدود نماید. کاملاً بر عکس، بنا بر طرح مارکس، «سرمایه به مفهوم عام» می باید که بهره را به مثابه آخرین مقوله در بر بگیرد، مقولهای که بی تردید به توزیع ارزش اضافی تعلق دارد.[10] این که مارکس بهره را در بخش سرمایه به مفهوم عام جای دهد با این ادعای موزلی که گویا سرمایه به مفهوم عام صرفاً معرف تولید ارزش اضافی است در تضاد مستقیم قرار دارد.
دلیل فرق گذاری میان سرمایه به مفهوم عام و رقابت چه بود؟ از نظر مارکس قوانین سرمایه در کوران رقابت ظاهر شده، اما، در این روند شکل نمیگیرند. از این رو، رقابت نمیتواند این چنین قوانینی را توضیح دهد.[11] در نتیجه، مارکس میخواسته که تمامی مقولههایی را که صرفاً در روند رقابت ظاهر شده، مستقل از رقابت ارایه کند. سرمایهی ربایی در روند رقابت میزید، اما، حاصل رقابت نیست. بنابراین، عرضه داشت آن به بخش سرمایه به مفهوم عام تعلق میگیرد.
به این دلیل که توزیع ارزش اضافی به طور دربست به زمینهی رقابت تعلق ندارد، از این رو این دو فرق گذاری (یعنی فرق گذاری میان سرمایه به مفهوم عام و رقابت از یک سو، و از سوی دیگر میان تولید ارزش اضافی و توزیع آن) را نمیتوان مساوی فرض کرد. اگر چه مارکس فرق گذاری میان تولید و توزیع ارزش اضافی را سرمایه در هم چنان حفظ نمود، اما، فرق گذاری میان سرمایه به مفهوم عام و رقابت را دیگر دنبال ننمود.
تکرار خلاصه بحث[12]: پیشفرض مارکس این بود که حذف رقابت به معنای از قلم انداختن هر سرمایه منفرد و هر شکل مخصوصی از سرمایه خواهد بود.غرض از سرمایه به مفهوم عام به طور صریح این بوده که سرمایه منفرد و یا شکل مخصوصی از سرمایه نیست[13]. در خلال دستنوشتههای ٦٣ـ١٨٦١ بود که مارکس به این نکته پی برد که محتوایی را که وی میخواسته زیر عنوان سرمایه به مفهوم عام ارایه دهد[14] خود نیاز به در نظر گرفتن اشکال مخصوص سرمایه[15] و سرمایههای منفرد داشته، چه در غیر این صورت سخن گفتن از میانگین نرخ سود بی معنا خواهد بود.انتزاع کامل از سرمایهی منفرد برای مارکس امکان نداشته، از این رو چارچوبهای بنیادین بنای مربوط به بخش می بایستی که دستخوش تغییر شود. این فرق گذاری میان سرمایه به مفهوم عام در یک سو و رقابت در سوی دیگر را نمیتوان در سرمایه یافت. مارکس به جای آن رابطهی میان سرمایه منفرد و سرمایهی کل اجتماعی را در سطحهای مختلفی از انتزاع در نظر میگیرد. مارکس خود بر این نکته تأکید میکند که هم در جلد اول و هم در جلد دوم سرمایه وی با بررسی یک سرمایهی منفرد آغاز میکند[16]، توضیحی که بیتردید در تضاد با تعیین سرمایه در مفهوم عام در گروندریسه در قرار دارد. در آن جا مارکس میگوید که هنگامی که سرمایه به مفهوم عام در نظر گرفته میشود «ما نه نظر به شکل مخصوصی از سرمایه داشته و نه به یک سرمایهی منفرد جدا از سرمایه های دیگر نظر داریم«[17]
مارکس در دستنوشتهها و نامههایاش بین سالهای ١٨٥٧ و نیمهی ١٨٦٣ از اصطلاح «سرمایه به مفهوم عام» به عنوان یک ایدهی مهم استفاده میکند. واقعیت این است که وی از نیمهی ١٨٦٣ به بعد دیگر هرگز از این اصطلاح، نه در نامه ها و نه در دستنوشتههایاش، استفاده ننمود. موزلی سعی می کند که تا این را با توسل به همه-فهمی توضیح دهد: [از آن جا که] سرمایه باید تودهای شود، بنابراین مارکس این اصطلاحِ هگلی را از قلم انداخت. این استدلال به هیچ وجه قانع کننده نیست. نخست، این که توضیح نمیدهد که چرا وی حتا در نامههایاش هم این اصطلاح را دیگر به کار نمیگیرد. دوم، و مهم تر این که استدلال موزلی در مورد خود سرمایه به هیچ روی قانع کننده نیست. در چاپ اول سرمایه در ١٨٦٧ مارکس برخی از اصطلاحهای هگلی را به کار گرفت. اما، در موخره بر چاپ دوم، مارکس پذیرفت که وی با مفاهیم هگلی «عشق بازی» میکرده است. این که مارکس از یک سو با مفاهیم هگلی در چاپ اول عشق بازی کرده، اما در عین حال اصطلاح «سرمایه به مفهوم عام» را به این دلیل که بیش از اندازه هگلی به نظر می رسیده از قلم انداخته باشد چندان پذیرفتنی نیست. پذیرفتنیتر، اما، این است که وی این مفهوم را به واسطهی رها ساختن ایده ی مرتبط با آن کنار نهاده باشد.
[1] صص ٣١٨-٣١٧، جلد سوم سرمایه، انتشارات پنگوین.
[2] نگاه شود به صفحههای ٣٣٧، ٣٣٣، ٣٢٧، ٣٢٦، ٣٢٢، ٣١٩
[3] پایین آمدن ارزش کالا به پایین آمدن ارزش نیروی کار راه میبرد و بنابراین به نرخ ارزش اضافی بالاتر میانجامد.
[4] که عمدتاً با به کارگیری بیشتر و استفاده از ماشین آلات بهتر صورت میپذیرد.
[5]پر واضح است که اگر صورت کسری ثابت مانده و مخرج آن افزایش یابد، قدر مطلق کسر همواره کاهش خواهد یافت.
[6] همان علتی که در تغییر مخرج کسر دست دارد، در عین حال، باعث تغییر صورت کسر نیز میشود، امری که در متأسفانه در فرمولبندی این «قانون» نادیده گرفته شده است.
[7] صص ٣٥٦-٣٥٥
[8]نویسنده در این جا برای آن که نشان دهد که دستکاری رابطهی ریاضی مارکس توسط میج کاملاً دلبخواهی بوده، مثالی را مطرح میسازد که نیازی برای ترجمهاش ندیده ام. (م)
[9]PhilosophiæNaturalis Principia Mathematica (اصول ریاضی فلسفهی طبیعی)
[10] نگاه شود به «نامه به لاسال»–١١ مارس ١٨٥٨
[11] نگاه شود به گروندریسه، MECW، جلد ٢٩، ص ١٣٦.
[12] من این بحث را به طور مفصلتری در مقالهای در نشریه سرمایه و طبقه مطرح نمودهام. شماره ٣٨، تابستان ١٩٨٩.
[13] نگاه شود به گروندریسه، MECW، جلد ٢٨، صص ٢٣٦ و ٣٤١؛ جلد ٢٩، صص ١١٥ـ١١٤.
[14] یعنی مقوله ارزش اضافی از طریق سود و سود میانگین تا بهره.
[15] یعنی سرمایه ای که تولیدگر ابزار تولید/ابزار مصرف است.
[16] نگاه شود به سرمایه، جلد دوم، چاپ انتشارات پنگوین، صص ٧١ـ٤٦٨.
[17]گروندریسه، MECW، جلد ٢٨، ص ٢٣٦.
